Contact for price
Math, Physics and Stats Tutor!
Description
Hi! My name is Eduardo. I’m a 4th-year student at the University of Toronto (St. George Campus), pursuing a triple major in Physics, Statistics, and Mathematics (Physics Specialist, Statistics Math double major). Over the past five years, I’ve accumulated thousands of hours of tutoring experience, working with high school, college, and university students. I specialize in helping students build confidence and achieve success in Math and Statistics and sciences such as Physics and Chemistry.
-----------------------------------------------------------------
Contact Info:
You can reach me via
text/call: 647-581-2491
email at: edmaraveles@gmail.com.
-----------------------------------------------------------------
Why book a session?
I welcome students from all backgrounds and at every level of learning. Teaching and communicating science and mathematics is my passion! I go above and beyond for every single student that I teach — inside and outside of our classroom. I’m patient, nonjudgmental, and committed to making sure you truly understand the material and not just memorize it. I’m happy to explain concepts as many times as needed, and I often go overtime (with no charge) with students to ensure everything clicks.
My sessions are fully personalized to your needs and taught one-on-one, adapting to your pace and learning style.
I teach from first principles so you don’t just know the answers. My goal is to leave you with a strong understanding of why they work. Whether it’s advanced multivariable calculus, classical or quantum mechanics, mathematical proofs, probability and statistics, or pre-calculus, I will guide you through it with care, clarity, and a focus on building confidence and problem-solving skills! I encourage students to interrupt and stop me at any time to ask lots and lots of questions! Never be afraid to ask questions!
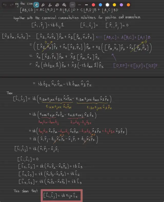
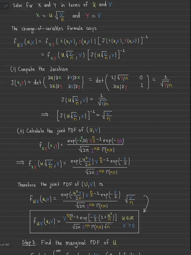
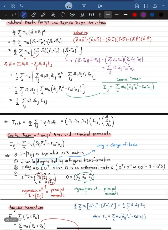
I offer both in-person and online. I am located in the downtown Toronto area. In-person needs to be arranged in advance due to limited library room availability. Online sessions are much easier to arrange and offer more flexibility. They take place over Zoom, where I share my iPad screen to walk you through a live, interactive lesson, just like in a real classroom. I present and explain concepts step-by-step using clear and colourful visuals. I am really big on drawing pictures or diagrams to make everything as understandable and engaging as possible. After each session, I review and polish our notes, then send you a PDF copy.
If you’ve fallen behind in your course or feel like there are gaps in your understanding, I can help you get back on track. I offer support with assignments, projects, and exam preparation, focusing on building both confidence and a strong grasp of the material. I also have extensive experience working with nursing, psychology, and biology students on statistics-related projects, including data analysis, interpretation, and report writing.
I can provide referrals upon request!
-----------------------------------------------------------------
Tutoring Rates:
My rates are not just about the time we spend in a lesson. They reflect the preparation, follow-up, and genuine care that I put in to help you succeed and really understand the material!
High-school and University level courses (including AP courses):
$35 / hr
$65 / 2hr
$90 / 3hr
$115 / 4hr
$140 / 5hr
$165 / 6hr
In addition to our one-on-one session, you’ll receive:
1. A PDF of our handwritten notes immediately after each lesson
2. Access to any custom worksheets, problem sets, or visual aids that I create specifically for your topic.
3. Extra time when needed. If we’re close to finishing a concept, I often go overtime at no extra charge to make sure everything we covered clicks.
4. Quick follow-up answers to short questions between lessons via email.
5. For $10 extra, you can receive a customized, clean, beautifully typeset LaTeX version of the notes, complete with extra explanations and step-by-step examples. Perfect for review and printing!
This way, you’re not just paying for the time we meet but you’re getting a complete, structured learning package. I put a lot of effort into the creating personalized lesson notes.
---------------------------------------------------------------
Courses that I tutor
I tutor the following courses and can help you ace assignments, prepare for exams, or dive deep in personalized one-on-one lecture sessions:
High School-level courses
I grew up in Ontario and have tutored for many years. I know the curriculum very well. I teach the following high school courses.
MATH:
Grade 9–10 Applied & Academic Math
Grade 11 Functions (MCR3U)
Grade 12 Advanced Functions (MHF4U)
Grade 12 Calculus & Vectors (MCV4U)
Grade 12 Data Management (MDM4U)
PHYSICS:
Grade 11 Physics (SPH3U)
Grade 12 Physics (SPH4U, SPH4C)
CHEMISTRY
Grade 11 Chemistry (SCH3U)
Grade 12 Chemistry (SCH4U)
ADVANCED PLACEMENT COURSES:
AP Precalculus
AP Statistics
AP Calculus AB
AP Calculus BC
AP Physics 1 : Algebra-Based
AP Physics 2: Algebra-Based
AP Physics C: Mechanics
AP Physics C: Electricity and Magnetism
----------------------------------------------------------------------
University-level courses
MATH
Calculus 1 & 2 with Proofs (for both math and computer science students)
Applied Calculus 1 & 2 (for both science and engineering students)
Linear Algebra 1 & 2 with Proofs (for math and computer science students)
Applied Linear Algebra (for science and engineering students)
Multivariable Calculus with Proofs (advanced-level with proofs)
Applied Multivariable Calculus (for science and engineering students)
Ordinary Differential Equations (ODEs)
Real Analysis 1 & 2
Intro to Proofs
Partial Differential Equations (PDEs)
Complex Variables
STATISTICS
Introductory Statistics
Probability & Statistics 1 & 2 with Proofs
Mathematical Statistics 1 & 2
Regression Analysis
PHYSICS
Foundations of Physics 1 & 2 / General Physics
Classical / Analytical / Newtonian Mechanics
Electricity & Magnetism
Modern Physics
Quantum Physics
Optics
Advanced Classical Mechanics (Lagrangian & Hamiltonian Mechanics)
Advanced Electromagnetic Theory
️Statistical & Thermal Physics
Quantum Mechanics
Intro to Quantum Computing & Information
Mathematical Foundations of Quantum Mechanics & Quantum Information Theory
CHEMISTRY
General Chemistry 1 & 2
Analytical and Physical Chemistry
-----------------------------------------------------------------
Contact Info:
You can reach me via
text/call: 647-581-2491
email at: edmaraveles@gmail.com.
-----------------------------------------------------------------
Why book a session?
I welcome students from all backgrounds and at every level of learning. Teaching and communicating science and mathematics is my passion! I go above and beyond for every single student that I teach — inside and outside of our classroom. I’m patient, nonjudgmental, and committed to making sure you truly understand the material and not just memorize it. I’m happy to explain concepts as many times as needed, and I often go overtime (with no charge) with students to ensure everything clicks.
My sessions are fully personalized to your needs and taught one-on-one, adapting to your pace and learning style.
I teach from first principles so you don’t just know the answers. My goal is to leave you with a strong understanding of why they work. Whether it’s advanced multivariable calculus, classical or quantum mechanics, mathematical proofs, probability and statistics, or pre-calculus, I will guide you through it with care, clarity, and a focus on building confidence and problem-solving skills! I encourage students to interrupt and stop me at any time to ask lots and lots of questions! Never be afraid to ask questions!
I offer both in-person and online. I am located in the downtown Toronto area. In-person needs to be arranged in advance due to limited library room availability. Online sessions are much easier to arrange and offer more flexibility. They take place over Zoom, where I share my iPad screen to walk you through a live, interactive lesson, just like in a real classroom. I present and explain concepts step-by-step using clear and colourful visuals. I am really big on drawing pictures or diagrams to make everything as understandable and engaging as possible. After each session, I review and polish our notes, then send you a PDF copy.
If you’ve fallen behind in your course or feel like there are gaps in your understanding, I can help you get back on track. I offer support with assignments, projects, and exam preparation, focusing on building both confidence and a strong grasp of the material. I also have extensive experience working with nursing, psychology, and biology students on statistics-related projects, including data analysis, interpretation, and report writing.
I can provide referrals upon request!
-----------------------------------------------------------------
Tutoring Rates:
My rates are not just about the time we spend in a lesson. They reflect the preparation, follow-up, and genuine care that I put in to help you succeed and really understand the material!
High-school and University level courses (including AP courses):
$35 / hr
$65 / 2hr
$90 / 3hr
$115 / 4hr
$140 / 5hr
$165 / 6hr
In addition to our one-on-one session, you’ll receive:
1. A PDF of our handwritten notes immediately after each lesson
2. Access to any custom worksheets, problem sets, or visual aids that I create specifically for your topic.
3. Extra time when needed. If we’re close to finishing a concept, I often go overtime at no extra charge to make sure everything we covered clicks.
4. Quick follow-up answers to short questions between lessons via email.
5. For $10 extra, you can receive a customized, clean, beautifully typeset LaTeX version of the notes, complete with extra explanations and step-by-step examples. Perfect for review and printing!
This way, you’re not just paying for the time we meet but you’re getting a complete, structured learning package. I put a lot of effort into the creating personalized lesson notes.
---------------------------------------------------------------
Courses that I tutor
I tutor the following courses and can help you ace assignments, prepare for exams, or dive deep in personalized one-on-one lecture sessions:
High School-level courses
I grew up in Ontario and have tutored for many years. I know the curriculum very well. I teach the following high school courses.
MATH:
Grade 9–10 Applied & Academic Math
Grade 11 Functions (MCR3U)
Grade 12 Advanced Functions (MHF4U)
Grade 12 Calculus & Vectors (MCV4U)
Grade 12 Data Management (MDM4U)
PHYSICS:
Grade 11 Physics (SPH3U)
Grade 12 Physics (SPH4U, SPH4C)
CHEMISTRY
Grade 11 Chemistry (SCH3U)
Grade 12 Chemistry (SCH4U)
ADVANCED PLACEMENT COURSES:
AP Precalculus
AP Statistics
AP Calculus AB
AP Calculus BC
AP Physics 1 : Algebra-Based
AP Physics 2: Algebra-Based
AP Physics C: Mechanics
AP Physics C: Electricity and Magnetism
----------------------------------------------------------------------
University-level courses
MATH
Calculus 1 & 2 with Proofs (for both math and computer science students)
Applied Calculus 1 & 2 (for both science and engineering students)
Linear Algebra 1 & 2 with Proofs (for math and computer science students)
Applied Linear Algebra (for science and engineering students)
Multivariable Calculus with Proofs (advanced-level with proofs)
Applied Multivariable Calculus (for science and engineering students)
Ordinary Differential Equations (ODEs)
Real Analysis 1 & 2
Intro to Proofs
Partial Differential Equations (PDEs)
Complex Variables
STATISTICS
Introductory Statistics
Probability & Statistics 1 & 2 with Proofs
Mathematical Statistics 1 & 2
Regression Analysis
PHYSICS
Foundations of Physics 1 & 2 / General Physics
Classical / Analytical / Newtonian Mechanics
Electricity & Magnetism
Modern Physics
Quantum Physics
Optics
Advanced Classical Mechanics (Lagrangian & Hamiltonian Mechanics)
Advanced Electromagnetic Theory
️Statistical & Thermal Physics
Quantum Mechanics
Intro to Quantum Computing & Information
Mathematical Foundations of Quantum Mechanics & Quantum Information Theory
CHEMISTRY
General Chemistry 1 & 2
Analytical and Physical Chemistry
When you call, please mention you found this ad on OKZ.ca
Similar Listings
×